There are problems that are easy to pose but difficult to solve. Among them is the problem of high-Reynolds-number asymptotics of steady incompressible flow past a bluff body.
Steady Navier-Stokes equations involve only one parameter, Re, and there are only two asymptotic limits: Re tending to zero and Re tending to infinity. The limit of Re tending to zero was found by George Gabriel Stokes in 1851. For streamlined bodies (like aerofoils) the limit of Re tending to infinity was found by Ludwig Prandtl in 1904. For bluff bodies (like a cylinder) the limit of Re tending to infinity was found only in 1988.
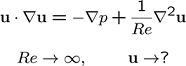
Fig.1. Steady flow past a circular cylinder at Reradius=300 calculated numerically by B.Fornberg in 1985.
In contrast to the Stokes theory and the boundary layer theory, bluff body high-Re steady solutions never correspond to real flows quantitatively, since real separated flows at high Re are always turbulent. This is illustrated by the long and wide wake in Figure 1. In averaged turbulent flow the eddy is narrower and shorter. Nevertheless, the steady asymptotics of separated flows always arose great interest not only because of its beauty and difficulty but also because its solution throws light on general properties of the Navier-Stokes equations. Moreover, in spite of the differences, real and steady high-Re flows have enough in common for the steady high-Re asymptotics to be used (with caution) for qualitative analysis of real turbulent flows.
Fig.2. Asymptotic structure of steady separated flow.
The theory proves that in steady separated flows the eddy length and width are both proportional to Re, while the drag coefficient tends to zero as 1/Re. The asymptotic flow structure consists of many distinguished limits. Following the arrows in Figure 2 one can go step-by-step from the Sadovsky flow on the Re x Re eddy scale to the Kirchhoff flow on the 1 x 1 body scale.
More information:
Try it, it is easy and it is fun!
A small step on the road to solving the problem of turbulence: a rigorous bound for dissipation in flows past walls of general shapeat Imperial College Department of Mathematics Fluid Dynamics seminar, March 6, 2026.
Oberwolfach Workshop 2431 - Polynomial Optimization for Nonlinear Dynamics: Theory, Algorithms, and Applicationsat the Mathematisches Forschungsinstitut Oberwolfach, Germany 28 July - 2 August 2024.
Studying fluid flows with auxiliary functions and LMIsat the IFAC World Congress, held in Yokohama, Japan on 8-14th July 2023.
Bounding time averages: a road to solving the problem of turbulenceat Institut de Mathématiques de Bordeaux, Bordeaux, May 4, 2023.
Bounding time averagesand
How quasi-steady is the modulation of near-wall turbulence by large-scale structures?(with Yunjiu Yang).
Auxiliary functionals: a path to solving the problem of turbulenceat The Seminar in the Analysis and Methods of PDE (SIAM PDE) on March 4, 2021. Links to the abstract and the video.
Accelerating time averagingat 73rd Annual Meeting of the APS Division of Fluid Dynamics, November 22, 2020: abstract and video.
Accelerating time averaging using auxiliary functionsat the Aerodynamics and Flight Mechanics group seminar, University of Southampton, on 6 February 2019
Coherent structures in wall-bounded turbulence: new directions in a classic problem, London, August 29-31, 2018, with a talk
Large-scale motions for the QSQH theory(with Chi Zhang).
Questions concerning quasi-steady mechanism of the Reynolds number, pressure gradient, and geometry effect on drag reductionat the Workshop on Active Drag Reduction, Aachen, Germany, 15-16 March 2018.
The problem of turbulence: bounding solutions to equations of fluid mechanics & other dynamical systems, with Giovanni Fantuzzi providing exercise sessions, at The 6th Bremen Winter School
Dynamical systems and turbulence, March 12-16, 2018.
Sergei Chernyshenko