Wave-structure and wave vessel interactions
Started: Apr 2017
Supervisor: Swan, C.
Description of Research
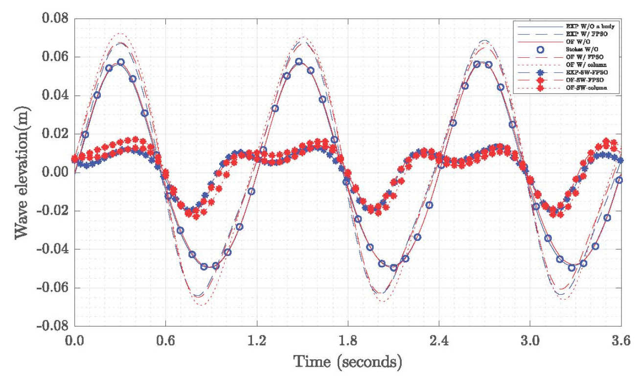
Wave impact has been an important issue in the offshore and shipbuilding industries. In this study, non-linear wave scattering and a phenomenon as similar to Mach stem, which is considered as the primary reasons for accidents due to unexpected wave impact, are investigated. Here are results of OpenFOAM simulations and preliminary experiments about a fixed simplified FPSO, and results of OpenFOAM simulations about Mach stem.


Background
Younmo obtained his Masters degree in Naval Architecture from Seoul National, in addition to several years working in industry.
YOUNMO LEE
PhD Candidate - Fluid Mechanics
Department of Civil & Environmental Engineering
Imperial College London SW7 2AZ
y.lee17@imperial.ac.uk