32) Cationic-π Interactions enabling Hard/Soft Ti/Ag Heterobimetallic Cooperativity in Lactide Ring-Opening Polymerisation, Chloe A. Baker, Charles Romain*, and Nick J. Long*, Chem. Commun., just accepted, DOI: 10.1039/D1CC05083D

31) "Chirality-Induced Catalyst Aggregation: Insights into Catalyst Speciation and Activity Using Chiral Aluminum Catalysts in Cyclic Ester Ring-Opening Polymerization", S. Gesslbauer, G. Hutchinson, A. J. P. White, J. Burés,* C. Romain,* ACS Catal. 2021, 11, XXX, 4084-4093, DOI: 10.1021/acscatal.0c05245
30) "Recent progress on NHC-stabilized early transition metal (group 3–7) complexes: Synthesis and applications", C. Romain,* S. Bellemin-Laponnaz,* S. Dagorne*, Coord. Chem. Rev. 2020, 213411, DOI: 10.1016/j.ccr.2020.213411
29) "gem-Dialkyl Effect in Diphosphine Ligands: Synthesis, Coordination Behavior, and Application in Pd-Catalyzed Hydroformylation", D. W. P. Tay, J. D. Nobbs, C. Romain, A. J. P. White, S. Aitipamula, M. van Meurs, G. J. P. Britovsek*, ACS Catal. 2020, 10, 663-671, DOI: 10.1021/acscatal.9b03007
28) "Exploiting Noncovalent Interactions for Room-Temperature Heteroselective rac-Lactide Polymerization Using Aluminum Catalysts", S. Gesslbauer, R. Savela, Y. Chen, A. J. P. white, C. Romain,* ACS Catal. 2019, xxx, 7912-7920, DOI: 10.1021/acscatal.9b00875
27) “Workflows allowing creation of journal article supporting information and FAIR-enabled publication of spectroscopic data”, A. Barba, S. Dominguez, C. Gomez, D. P. Martinsen, C. Romain,* H. S. Rzepa,* F. Seoane, ACS Omega 2019, 4, 3280-3286; DOI: 10.1021/acsomega.8b03005
26) "Design, Synthesis, and Conformational Analysis of Oligobenzanilides as Multifacial α-Helix Mimetics", T. Flack, C. Romain, A. J. P. White, P. R. Haycock, Org. Lett. 2019, 21, 4433-4438; DOI: 10.1021/acs.orglett.9b01115
25) “From lignin to chemicals: Hydrogenation of lignin models and mechanistic insights into hydrodeoxygenation via low temperature C-O bond cleavage”, C. Vriamont, T. Chen, C. Romain, P. Corbett, P. Manageracharath, J. Peet, C. Conifer, J. Hallett, G. Britovsek*, ACS Catal. 2019, 9, 2345-2354; DOI: 10.1021/acscatal.8b04714
24) “Highly active aluminium catalysts for room temperature ring-opening polymerisation of rac-lactide”, S. Gesslbauer, H. Cheek, A. J. P. White, C. Romain,* Dalton Trans. 2018, 47, 10410-10414; DOI: 10.1039/C8DT01526K

23) "Di-Zinc-Aryl Complexes: CO2 Insertions and Applications in Polymerisation Catalysis”, C. Romain, J. Garden, G. Trott, A. Buchard, A. J. P. White, C. K. Williams,* Chem. Eur. J. 2017, 23, 7367-7376; DOI: 10.1002/chem.201701013
22) “Sustainable polymers from renewable resources”, Y. Zhu. C. Romain, C. K. Williams,* Nature 2016, 540, 354-362; https://www.nature.com/articles/nature21001.
21) “Dizinc lactide polymerisation catalysts: hyperactivity by control of ligand conformation and metallic cooperativity”, A. Thevenon, C. Romain, M. S. Bennington, A. J. P. White, H. J. Davidson, S. Brooker, C. K. Williams,* Angew. Chem. Int. Ed. 2016, 55, 8680-8685; Hot paper; http://onlinelibrary.wiley.com/doi/10.1002/anie.201602930/abstract.
20) “Chemoselective polymerizations from mixtures of epoxide, lactone, anhydride and carbon dioxide”, C. Romain,* Y. Zhu, P. Dingwall, S. Paul, H. S. Rzepa, A. Buchard, C. K. Williams,* , J. Am Chem. Soc. 2016, 138, 4120-4131; http://pubs.acs.org/doi/abs/10.1021/jacs.5b13070.
19) “Techno-economic assessment of the production of phthalic anhydride from corn stover”, S. Giarola, C. Romain, C. K. Williams, J. P. Hallett, N. Shah,* Chem. Eng. Res. Des. 2016, 107, 181-194; http://www.sciencedirect.com/science/article/pii/S0263876215004086.
18) “Macrocyclic dizinc(II) alkyl and alkoxide complexes: reversible CO2 uptake and polymerization catalysis testing”, C. Romain, M.S. Bennington, A. J. P. White, C. K. Williams,* S. Brooker,* Inorg. Chem. 2015, 54, 11842-11851; http://pubs.acs.org/doi/abs/10.1021/acs.inorgchem.5b02038
17) “Unusual benzyl migration reactivity in NHC-bearing group 4 metal chelates: synthesis, characterization, and mechanistic investigations”, C. Romain, D. Speckelinn, K. Miqueu, J. M. Sotiropoulos, C. Fliedel, S. Bellemin-Laponaz,* S. Dagorne,* Organometallics 2015, 34, 4854-4863; http://pubs.acs.org/doi/abs/10.1021/om501143t
16) “Selective polymerization catalysis: controlling the metal chain end group to prepare block copolyesters“, Y. Zhu, C. Romain, C. K. Williams,* J. Am. Chem. Soc. 2015, 137, 12179-12182; http://pubs.acs.org/doi/full/10.1021/jacs.5b04541.
15) “Sequence selective polymerization catalysis: A new route to ABA block copoly(ester-b-carbonate-b-ester)“, S. Paul, C. Romain, J. Show, C. K. Williams,* Macromolecules 2015, 48, 6047-6056, http://pubs.acs.org/doi/abs/10.1021/acs.macromol.5b01293.
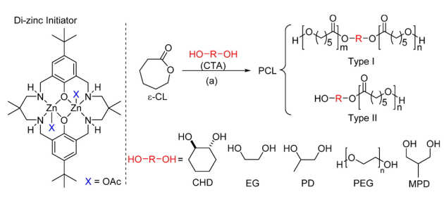
14) “Influences of a dizinc catalyst and bifunctional chain transfer agents on the polymer architecture in the ring-opening polymerization of e-caprolactone”, Y. Zhu, C. Romain, V. Poirier, C. K. Williams,* Macromolecules 2015, 48, 2407-2416; http://pubs.acs.org/doi/abs/10.1021/acs.macromol.5b00225.
13) “Ring-opening copolymerization (ROCOP): Synthesis and properties of polyesters and polycarbonates”, S. Paul, Y. Zhu, C. Romain, R. Brooks, P. K. Saini, C. K. Williams,* Chem. Commun. 2015, 51, 6459-6479 , http://pubs.rsc.org/en/content/articlelanding/2015/cc/c4cc10113h.
12) “Renewable polycarbonates and polyesters from 1,4-cyclohexadiene”, M. Winkler, C. Romain, M. A. R. Meier,* C. K. Williams,* Green Chem. 2015, 17, 300-306; http://pubs.rsc.org/en/Content/ArticleLanding/2015/GC/C4GC01353K.
11) “NHC bis-phenolate aluminium chelates: Synthesis, structure and use in lactide and trimethylene carbonate polymerization”, C. Romain, C. Fliedel, S. Bellemin-Laponnaz,* S. Dagorne,* Organometallics 2014, 33, 5730-5739; http://pubs.acs.org/doi/abs/10.1021/om5004557.
10) “Dinuclear metal catalysts: improved performance of heterodinuclear mixed catalysts for CO2-epoxide copolymerization”, P. K. Saini, C. Romain, C. K. Williams,* Chem. Commun. 2014, 50, 4164-4167; http://pubs.rsc.org/en/Content/ArticleLanding/2014/CC/c3cc49158g.
9) “Di-magnesium and zinc catalysts for the copolymerization of phthalic anhydride and cyclohexene oxide”, P. K. Saini, C. Romain, Y. Zhu, C. K. Williams,* Polym. Chem. 2014, 5, 6068-6075; http://pubs.rsc.org/en/Content/ArticleLanding/2014/PY/C4PY00748D.
8) “Redox and luminescent properties of robust and air-stable N-heterocyclic carbene group 4 metal complexes”, C. Romain, S. Choua, J.-P. Collin, M. Heinrich, C. Bailly, L. Karmazin-Brelot, S. Bellemin-Laponnaz, S. Dagorne,* Inorg. Chem. 2014, 53, 7371-7376; http://pubs.acs.org/doi/abs/10.1021/ic500718y.
7) “Chemoselective polymerization control: From mixed monomer feedstock to copolymers”, C. Romain, C. K. Williams,* Angew. Chem. Int. Ed. 2014, 53, 1607-1610; Very important Paper (VIP), http://onlinelibrary.wiley.com/enhanced/doi/10.1002/anie.201309575
6) “Neutral and cationic N-heterocyclic carbene zirconium and hafnium benzyl complexes: highly regioselective oligomerization of 1-hexene with a preference for trimer formation”, S. Dagorne,* S. Bellemin-Laponnaz,* C. Romain, Organometallics 2013, 32, 2736-2743; http://pubs.acs.org/doi/abs/10.1021/om400182d.
5) “A robust zirconium N-heterocyclic carbene complex for the living and highly stereoselective ring-opening polymerization of rac-lactide”, C. Romain, B. Heinrich, S. Bellemin-Laponnaz,* S. Dagorne,* Chem. Commun. 2012, 48, 2213-2215; http://pubs.rsc.org/en/Content/ArticleLanding/2012/CC/c2cc16819g.
4) “Highly active zinc alkyl cations for the controlled and immortal ring-opening polymerization of e-caprolactone”, C. Romain, V. Rosa, C. Fliedel, F. Bier, F. Hild, R. Welter, S. Dagorne,* T. Avilés, Dalton Trans. 2012, 41, 3377-3379; http://pubs.rsc.org/en/Content/ArticleLanding/2012/DT/c2dt12336c

3) “Non-innocent behavior of a tridentate NHC chelating ligand coordinated onto a zirconium(IV) center”, C. Romain, K. Miqueu, J.-M. Sotiropoulos, S. Bellemin-Laponnaz,* S. Dagorne,* Angew. Chem. Int. Ed. 2010, 49, 2198-220; http://onlinelibrary.wiley.com/enhanced/doi/10.1002/anie.200906702.
2) “Synthesis and structural characterization of a novel family of titanium complexes bearing a tridentate bis-phenolate-N-heterocyclic carbene dianionic ligand and their use in the controlled ROP of rac-lactide”, C. Romain, L. Brelot, S. Bellemin-Laponnaz,* S. Dagorne,* Organometallics 2010, 29, 1191-1198; http://pubs.acs.org/doi/abs/10.1021/om901084n.
1) “New dipyridylamine ruthenium complexes for transfer hydrogenation of aryl ketones in water”, C. Romain, S. Gaillard, M. K. Elmkaddem, L. Toupet, C. Fischmeister,* C. M. Thomas,* J.-L. Renaud,* Organometallics 2010, 29, 1992-1995; http://pubs.acs.org/doi/abs/10.1021/om100127f
Book Chapters
“Polymerization catalysis by metal phenolates” in “Patai’s Chemistry of Functional groups”, S. Dagorne, C. Romain, Ed. J. Zabicky, J. Wiley & Sons, Ltd, 2017; http://onlinelibrary.wiley.com/doi/10.1002/9780470682531.pat0853/abstract.
“Combining sustainable polymerization routes for the preparation of polyesters, polycarbonates and copolymers” in “Green Polymer Chemistry: Biobased Materials and Biocatalysis”, C. Romain, C. K. Williams, Ed. H.N. Cheng, R. A. Gross, P. B. Smith, ACS Symposium Series, 2015, Vol. 1192, Ch. 9, pp 135-146, http://pubs.acs.org/doi/abs/10.1021/bk-2015-1192.ch009
“Dinuclear metal complex-mediated formation of CO2-based polycarbonates” in “Topics in Organometallics”, C. Romain, A. Thevenon, P. K. Saini, C. K. Williams, , Springer, Berlin Heidelberg, 2015, Ch. 95, https://link.springer.com/chapter/10.1007/3418_2015_95
Patents
“Method and catalyst systems for preparing polymers and block copolymers”, C. K. Williams, C. Romain, M. Kember, WO2014184578, PCT application number PCT/GB2014/051511; licensed to Econic-Technologies.
“Improved Heterodinuclear Mixed Catalysts for CO2/Epoxide Copolymerisation”, P. K. Saini, C. Romain, J. A. Garden, C. K. Williams, Patent application number 1308978.4; licensed to Econic-Technologies.
“N-Heterocyclic carbene based zirconium complexes for use in lactones ring opening polymerization”, S. Bellemin-Laponnaz, S. Dagorne, C. Romain, P. Steffanut, WO 2012076140, PCT/EP2011/006076.