2026
- Phase evolution of superposition target states in adiabatic population transfer, Eli Morhayim, Michael T. Ziemba, J. Lim, and B. E. Sauer, Phys. Rev. A(2026).
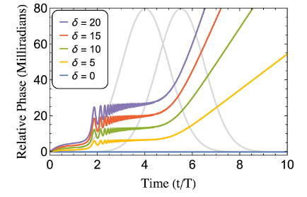
Synopsis: Adiabatic transfer is a powerful way to induce transitions between quantum states while remaining insensitive to the details of the interaction driving the transition. In this paper we investigate STIRAP (stimulated Raman adiabatic passage) when the final state is a superposition of non-degenerate states. We show that the final phase of the superposition is independent of the STIRAP parameters over a wide range of conditions, an important result for our time-reversal experiments.
- Demonstration and frequency noise characterization of a 17 µm quantum cascade laser, M. Manceau, T. E. Wall, H. Philip, A. N. Baranov, O. Lopez, M. R. Tarbutt, R. Teissier and B. Darquié, Laser Photonics Rev. 20, e00879 (2026).
Synopsis: Extending laser spectroscopy to the mid-infrared is important for applications ranging from chemical detection to frequency metrology, but laser sources in this spectral region are rare. In this paper, we study the performance of a 17 µm quantum cascade laser. We show its spectroscopic potential by demonstrating broadband laser spectroscopy of the bending mode of N2O molecules.
2025
- Slowing YbF molecules using radiation pressure, M. Athanasakis-Kaklamanakis, G. Peng, S. Li, H. Septien-Gonzalez, C. Debavelaere, A. D. White, S. Popa, J. Lim, B. E. Sauer, and M. R. Tarbutt, Phys. Rev. Research 7, 043235 (2025).
Synopsis:
Molecules have to be slowed to about 10 m/s before they can be captured in a magneto-optical trap (MOT). We demonstrate deceleration of a molecular beam of YbF using radiation pressure. These molecules are important for tests of fundamental physics but are particularly difficult to slow because of their high mass and complex electronic structure. We use multiple laser and microwave frequencies to form a nearly-closed optical cycle and show that the molecules can be slowed to speeds close to the capture velocity of a MOT.
-
Large momentum transfer Raman atom interferometer without k-reversal, Guanchen Peng, Bryony Lanigan, R. Shah, J. Lim, A. Kaushik, J. P. Cotter, E. A. Hinds, and B. E. Sauer, Phys. Rev. Research 7, L032045 (2025)

Synopsis: Increasing the space-time area enclosed by an atom interferometer increases its sensitivity. In this paper we show how a combination of laser and microwave pulses can increase this area for experiments in which the propagation direction of the laser beams cannot be reversed.
- Low-noise environment for probing fundamental symmetries, F J Collings, N. J. Fitch, R. A. Jenkins, J. M. Dyne, E. Wursten, M. T. Ziemba, X. S. Zheng, F. Castellini, J. Lim, B. E. Sauer and M. R. Tarbutt, New J. Phys. 27, 105004 (2025).
Synopsis: Precision measurements using molecules are among the most sensitive probes of symmetry-violating physics beyond the Standard Model. Experiments searching for the electron's electric dipole moment (eEDM) are reaching sensitivity levels that constrain new physics at the multi-TeV scale, rivaling or exceeding those accessible at colliders. Such measurements demand exceptional control over both electric and magnetic fields. This paper presents a detailed design and characterization of a low-noise environment optimised for an eEDM measurement using a beam of ultracold YbF molecules. The apparatus combines high-voltage ceramic electrodes, a glass vacuum chamber, and a custom multi-layer mu-metal magnetic shield, enabling an electric field of 20 kV/cm while maintaining magnetic noise below 50 fT/√Hz. We analyse and mitigate systematic errors from leakage currents, patch potentials, Johnson noise, and electric-field-correlated magnetic fields.
- Wavelength modulation laser spectroscopy of N2O at 17 µm, Y. Wang, J. Rodewald, O. Lopez, M. Manceau, B. Darquié, B. E. Sauer and M. R. Tarbutt, New J. Phys. 27, 023038 (2025).

Synopsis:
Laser spectroscopy, with its unrivalled resolution and accuracy, is an outstanding tool for revealing the structures of atoms and molecules, testing fundamental physics, and building sensors of exceptional precision. Extending this tool to new spectral regions is important. Especially important in the "molecular fingerprint" region between 7 and 20 microns, where every molecule has a unique spectrum. This potential has not been fully realized because of poor laser technology and frequency standards in this spectral region. We use a quantum cascade laser combined with wavelength modulation spectroscopy to demonstrate precise laser spectroscopy at 17 um. We measure a large set of lines in N2O with frequency uncertainties below 5 MHz and determine an improved set of molecular parameters.
2024
- Quantum computation and quantum simulation with ultracold molecules, S.L. Cornish, M. R. Tarbutt and K. R. A. Hazzard, Nature Physics 20, 730 (2024).
Synopsis: A review article covering the advances made so far in quantum simulation and computation with ultracold molecules and the challenges still to overcome.
- Scheme for Deterministic Loading of Laser-Cooled Molecules into Optical Tweezers, E. F. Walraven , M. R. Tarbutt and T. Karman, Phys. Rev. Lett. 132, 183401 (2024).
Synopsis: We propose to repeatedly load laser-cooled molecules into optical tweezers, and transfer them to storage states that are rotationally excited by two additional quanta. Collisional loss of molecules in these storage states is suppressed, and a dipolar blockade prevents the accumulation of more than one molecule. The method increases the loading efficiency, improving the scalability of tweezer arrays of molecules.
- Slow molecular beams from a cryogenic buffer gas source, A. D. White, S. Popa, J. Mellado-Munoz, N. J. Fitch, B. E. Sauer, J. Lim and M. R. Tarbutt, Phys. Rev. Research 6, 043232 (2024).
Synopsis: Slow molecular beams are important for loading magneto-optical traps of molecules and for experiments that use molecules to test fundamental physics. In this paper, we show how to produce very slow beams using a two-stage buffer gas cell cooled to about 1 K
- Understanding Inner-Shell Excitations in Molecules through Spectroscopy of the 4f Hole States of YbF, S. Popa, S. Schaller, A. Fielicke, J. Lim, B.G. Sartakov, M.R. Tarbutt and G. Meijer, Phys. Rev. X 14, 021035 (2024).
Synopsis: Lanthanide-containing molecules possess 4f-hole excited states that inhibit laser cooling but may be useful for efficient detection of molecules and for testing fundamental physics. We study these states in YbF and explain them with a simple model. Using laser spectroscopy, we resolve rotational structure for the three lowest -hole states, a mixed state, and two states above the ionization limit, modeling them as configurations of in the electric field of in a rotating frame. These results support laser slowing and magneto-optical trapping of YbF which is an important molecule for measuring the electron's electric dipole moment.
- Centralized design and production of the ultra-high vacuum and laser-stabilization systems for the AION ultra-cold strontium laboratories, B. Stray et. al. AVS Quantum Sci. 6, 014409 (2024).
Synopsis: A technical paper describing the design of an apparatus for single-photon atom interferometry with ultracold strontium.
2023
- Measuring the nuclear magnetic quadrupole moment in heavy polar molecules, C. J. Ho, J. Lim, B. E. Sauer and M. R. Tarbutt, Frontiers in Physics 11, 1086980 (2023).

Synopsis: Theories that extend the Standard Model of particle physics often introduce new interactions that violate charge-parity (CP) symmetry. Charge-parity-violating effects within an atomic nucleus can be probed by measuring its nuclear magnetic quadrupole moment. The sensitivity of such a measurement is enhanced when using a heavy polar molecule containing a deformed nucleus. We work out how the energy levels of a molecule are shifted by the magnetic quadrupole moment and how those shifts can be measured.
-
Shielding collisions of ultracold CaF molecules with static electric fields, B. Mukherjee, M. D. Frye, C. R. Le Sueur, M. R. Tarbutt and J. M. Hutson, Phys. Rev. Research 5, 033097 (2023).

Synopsis: We study collisions of ultracold CaF molecules in strong static electric fields. These fields create a shield that prevents molecules getting close. We show that shielding is particularly efficient for CaF, reducing the rate of two-body loss processes by a factor of 10 million or more. These results pave the way for evaporative cooling of CaF towards quantum degeneracy.
-
Tunable Feshbach resonances in collisions of ultracold molecules in doublet-Sigma states with alkali-metal atoms, R. C. Bird, M. R. Tarbutt and J. M. Hutson, Phys. Rev. Research 5, 023184 (2023).

Synopsis: We consider the magnetically tunable Feshbach resonances that may exist in ultracold mixtures of molecules in doublet-Sigma states and alkali-metal atoms, focussing on Rb+CaF as a prototype system. We show that there are likely to be resonances analogous to those between pairs of alkali-metal atoms, and that these will be broad enough to control collisions and form triatomic molecules by magnetoassociation.
- Systematic errors arising from polarization imperfections in measurements of the electron’s electric dipole moment, C. J. Ho, S. C. Wright, B. E. Sauer and M. R. Tarbutt, Phys. Rev. Research 5, 043233 (2023).

Synopsis: The electron's electric dipole moment can be determined by polarizing the spin of an atom or a molecule and then measuring the spin precession frequency in an applied electric field. Radiation is used to polarize the spin and then analyze the precession angle, and the measurement is often sensitive to the polarization of this radiation. We study systematic errors that can arise when both the polarization of the radiation and the magnitude of the electric field are imperfectly controlled.
2022
- Quantum Computation in a Hybrid Array of Molecules and Rydberg Atoms, C. Zhang and M.R. Tarbutt, PRX Quantum 3, 030340
Synopsis: Polar molecules offer several advantages for quantum computing. They have many stable levels that can be used as qubits, they have long coherence times, single-qubit operations can be driven using microwave fields, and the molecules can be entangled using dipole-dipole interactions. However, entangling gates are slow and only work when the molecules are close together. We show how to use the much stronger interaction between a molecule and a Rydberg atom to entangle molecules over long distances and on a microsecond timescale. This entangling gate has very low error, is insensitive to motion, and provides large-scale connectivity within a molecular array. The interaction can also be used to map the state of the molecule onto the atom for efficient readout of the qubit.
- Measuring the stability of fundamental constants with a network of clocks, G. Barontini et al., EPJ Quantum Technology 9, 12 (2022).
Synopsis: The fundamental constants of nature might not be completely constant. In some models of new physics, they are predicted to drift or oscillate in time. Such a variation could be measured using a network of atomic and molecular clocks. This paper describes how varying fundamental constants arise in various theories, and evaluates the precision that could be reached through comparisons of existing clocks and some novel ones that we are now building.
- Inner-shell excitation in the YbF molecule and its impact on laser cooling, C. Zhang, C. Zhang, L. Cheng, T. C. Steimle and M. R. Tarbutt, J. Mol. Spectroscopy 386, 111626 (2022).
Synopsis: Laser cooling of YbF molecules is hindered by low-lying electronic states arising from excitation of a 4f electron. Very little is known about these excited states. To gain a better understanding, we build a simple model of the states based on existing experimental data and combine this with sophisticated electronic structure calculations. We identify a leak out of the laser cooling cycle and assess its impact on laser cooling.
2021
- Laser-cooled molecules, N. J. Fitch and M. R. Tarbutt, Advances in Atomic, Molecular, and Optical Physics, 70, 157-262 (2021).
Synopsis: In this review, we survey the current state of the art in the science of laser cooling molecules. We examine what kinds of molecules can be laser cooled, how to design a suitable cooling scheme, and how the cooling can be understood and modelled. We review recent work on laser slowing, magneto-optical trapping, sub-Doppler cooling, and the confinement of molecules in conservative traps, with a focus on the fundamental principles of each technique. Finally, we explore some of the exciting applications of laser-cooled molecules that should be accessible in the near term.
- An ultracold molecular beam for testing fundamental physics, X. Alauze, J. Lim, M. A. Trigatzis, S. Swarbrick, F. J. Collings, N. J. Fitch, B. E. Sauer and M. R. Tarbutt, Quantum Sci. Technol. 6, 044005 (2021).

Synopsis: We use two-dimensional transverse laser cooling to produce an ultracold beam of YbF molecules. Through experiments and numerical simulations, we study how the cooling is influenced by the polarization configuration, laser intensity, laser detuning and applied magnetic field. Laser cooling reduces the temperature below 200 microkelvin and increases the brightness of the beam by a factor of at least 300. This ultracold beam is an important step towards measuring the electron's electric dipole moment with improved precision.
- Collisions in a dual-species magneto-optical trap of molecules and atoms, S. Jurgilas, A. Chakraborty, C. J. H. Rich, B. E. Sauer, M. D. Frye, J. M. Hutson and M. R. Tarbutt, New J. Phys. 23, 075004 (2021).

Synopsis: We describe how we make a dual-species magneto-optical trap (MOT) of CaF molecules and Rb atoms. We study inelastic collisions between the two species in the MOT. The presence of atoms increases the loss rate of molecules from the trap, and we measure the collisional loss rate coefficient. We study the collisional mechanisms responsible, finding that our observations can be explained by rotation-changing collisions in the ground electronic state.
- From Hot Beams to Trapped Ultracold Molecules: Motivations, Methods and Future Directions, N. J Fitch and M. R. Tarbutt, In: Friedrich B., Schmidt-Böcking H. (eds) Molecular Beams in Physics and Chemistry. Springer, Cham. doi 10.1007/978-3-030-63963-1_22.

Synopsis: In the last century, molecular beams have dramatically improved in terms of their brightness, species availability, beam speeds, and the areas of physics that they can be used to investigate. Here, we summarize some of the advances that have taken place since the pioneering work of Otto Stern and colleagues some hundred years ago measuring dipole moments of fundamental particles, how measurement techniques have evolved, and how the newly developed field of molecular laser cooling will help such experiments progress in the future.
-
Single organic molecules for photonic quantum technologies, C. Toninelli, I. Gerhardt, A. S. Clark, A. Reserbat-Plantey, S. Götzinger, Z. Ristanović, M. Colautti, P. Lombardi, K. D. Major, I. Deperasińska, W. H. Pernice, F. H. L. Koppens, B. Kozankiewicz, A. Gourdon, V. Sandoghdar and M. Orrit, Nature Materials (2021)
Synopsis. Isolating single molecules in the solid state has allowed fundamental experiments in basic and applied sciences. Molecules can be operated as single-photon sources and as nonlinear elements with competitive performance in terms of coherence, scalability and compatibility with diverse integrated platforms. Moreover, they can be used as transducers for the optical read-out of fields and material properties, with the promise of single-quanta resolution in the sensing of charges and motion. In this review article we show that quantum emitters based on single molecules hold promise to play a key role in the development of quantum science and technologies.
- Collisions between ultracold molecules and atoms in a magnetic trap, S. Jurgilas, A. Chakraborty, C. J. H. Rich, L. Caldwell, H. J. Williams, N. J. Fitch, B. E. Sauer, M. D. Frye, J. M. Hutson and M. R. Tarbutt, Phys. Rev. Lett. 126, 153401 (2021)
Synopsis. We study the collisions of laser-cooled molecules at ultracold temperatures. We find that spin-changing collisions are slow but rotation-changing collisions are fast. Our techniques can be applied to a wide range of atom-molecule mixtures and open a new avenue of research in the field of ultracold collisions. The work is an important step towards smpathetic cooling of molecules by ultracold atoms. Highlighted in Physics Magazine.
- Coherent characterisation of a single molecule in a photonic black box, S. Boissier, R. C. Schofield, L. Jin, A. Ovvyan, S. Nur, F. H. L. Koppens, C. Toninelli, W. H. P. Pernice, K. D. Major, E. A. Hinds and A. S. Clark, Nature Communications 12, 706 (2021)
Synopsis. We develop a theoretical framework to deduce the coupling efficiency from the measured transmission and reflection spectra without precise knowledge of the photonic environment. We then consider the case of a waveguide interrupted by a transverse cut in which an emitter is placed. We apply that theory to a silicon nitride waveguide interrupted by a gap filled with anthracene that is doped with dibenzoterrylene molecules. We describe the fabrication of these devices, and experimentally characterise the waveguide coupling of a single molecule in the gap.
- General approach to state-dependent optical tweezer traps for polar molecules, L. Caldwell and M. R. Tarbutt, Phys. Rev. Research 3, 013291 (2021)
Synopsis. We show how to control sub-wavelength spacings between molecules by using tensor Stark shifts to engineer state-dependent optical tweezer traps. The method increases the strength of dipolar interactions between molecules 100-fold and will work for all molecules - those associated from alkali atoms and those directly laser cooled. The method is useful for quantum simulation, information processing and ultracold chemistry.
- Methods for measuring the electron's electric dipole moment using ultracold YbF molecules, N. J. Fitch, J. Lim, E. A. Hinds, B. E. Sauer and M. R. Tarbutt, Quantum Sci. Technol. 6, 014006 (2021)
Synopsis. We describe how ultracold molecules could be used to improve measurements of the electron's electric dipole moment. A combination of magnetic focussing, 2D laser cooling, and frequency-chirped laser slowing, can produce an intense, slow, highly-collimated molecular beam. We consider how to make a magneto-optical trap of YbF molecules and how they could be loaded into an optical lattice. We estimate the statistical sensitivity that could be reached and consider systematic effects due to magnetic fields and vector light shifts.
2020
- Enhancing dipolar interactions between molecules using state-dependent optical tweezer traps, L. Caldwell and M. R. Tarbutt, Phys. Rev. Lett. 125, 243201 (2020)

Synopsis. The dipole-dipole interaction between polar molecules in tweezer trap arrays can be used to implement quantum gates and study many-body quantum systems. However, at the minimum separation between traps, the interaction strength is sufficient for only a few gate operations within currently demonstrated coherence times. We show how a state-dependent potential can confine two molecules at much smaller separation, enhancing their interaction 100-fold. We use this interaction to design a fast, realistic two-qubit gate.
- Phonon-Induced Optical Dephasing in Single Organic Molecules, C. Clear, R. C. Schofield, K. D. Major, J. Iles-Smith, A. S. Clark and D. P. S. McCutcheon, Phys. Rev. Lett. 124, 153602 (2020)
Synopsis. This is a joint experiment-theory analysis of the temperature-dependent emission spectra, zero-phonon linewidth, and second-order correlation function of light emitted from a single organic molecule. We observe spectra with a zero-phonon line together with several additional sharp peaks, broad phonon sidebands, and a strongly temperature dependent homogeneous broadening. Our model includes both localized vibrational modes of the molecule and a thermal phonon bath. Our results constitute an essential characterization of the photon coherence of molecules, paving the way to their use in future quantum information applications.
- New techniques for a measurement of the electron's electric dipole moment, C. J. Ho, J. A. Devlin, I. M. Rabey, P. Yzombard, J. Lim, S. C. Wright, N. J. Fitch, E. A. Hinds, M. R. Tarbutt and B. E. Sauer, New. J. Phys. 22, 053031 (2020)
Synopsis. We report a series of new techniques that have improved the statistical sensitivity of our experiment to measure the electron's electric dipole moment using YbF molecules. We increase the number of molecules participating in the experiment by an order of magnitude using an optical pumping scheme, and increase the detection efficiency of these molecules by another order of magnitude using an optical cycling scheme. We show how to destabilise dark states and reduce backgrounds that otherwise limit the efficiency of these techniques.
-
Single-Photon-Level Sub-Doppler Pump-Probe Spectroscopy of Rubidium, P. Burdekin, S. Grandi, R. Newbold, R. A. Hoggarth, K. D. Major
and A. S. Clark, Phys. Rev. Applied 14, 044046 (2020)
Synopsis. We propose and demonstrate pump-probe spectroscopy of rubidium absorption that reveals the sub-Doppler hyperfine structure of the D2 transitions. The counterpropagating pump and probe lasers are independently tunable in frequency, which reveal a two-dimensional spectrum measured showing fluorescence, Doppler-broadened absorption dips, and sub-Doppler features. The detuning between the pump and probe lasers allows compensation of the Doppler shift for all atomic velocities in the room-temperature vapor, meaning we observe sub-Doppler features for all atoms in the beam. In the future this technique could be used as an atomic frequency standard for calibrating and characterising a single-photon or low-light-level source.
- Robust entangling gate for polar molecules using magnetic and microwave fields, M. Hughes, M. D. Frye, R. Sawant, G. Bhole, J. A. Jones, S. L. Cornish, M. R. Tarbutt, J. M. Hutson, D. Jaksch and J. Mur-Petit, Phys. Rev. A 101, 062308 (2020)

Synopsis. The dipole-dipole interactions of polar molecules can be used to implement quantum gates. We use magnetic and microwave fields to design a fast entangling gate with >0.999 fidelity. Our protocol is robust with respect to fluctuations in the trapping and control fields and to small thermal excitations. These results establish the feasibility of build a scalable quantum processor with molecules in optical lattices or optical tweezers.
Sideband cooling of molecules in optical traps, L. Caldwell and M. R. Tarbutt, Phys. Rev. Research 2, 013251 (2020)
Synopsis. Sideband cooling is a popular method for cooling atoms to the ground state of an optical trap. Applying the same method to molecules is challenging because strong tensor Stark shifts make the trap potential state-dependent. We develop the theory of sideband cooling in state-dependent potentials, and derive an expression for the heating due to photon scattering. We show that the complexity of sideband cooling can be greatly reduced by applying a large magnetic field and we present a simple recipe for cooling to the ground state of motion.
-
Polymer-encapsulated organic nanocrystals for single photon emission, R. C. Schofield, D. P. Bogusz, R. A. Hoggarth, S. Nur, K. D. Major and Alex S. Clark, Optical Materials Express 10, 1586-1596 (2020)
Synopsis. We demonstrate an emulsion-polymerisation technique to embed dibenzoterrylene-doped anthracene nanocrystals in polymethyl methacrylate (PMMA) nanocapsules. The nanocapsules require no further protection after fabrication and are resistant to sublimation compared to unprotected anthracene. The room temperature emission from single dibenzoterrylene molecules is stable and when cooled to cryogenic temperatures we see no change in their excellent optical properties compared to existing growth methods. We also show emission from nanocapsules embedded in a thin layer of titanium dioxide, highlighting their potential for integration into hybrid nanophotonic devices.
- Ultracold polar molecules as qudits, R. Sawant, J. A. Blackmore, P. D. Gregory, J. Mur-Petit, D. Jaksch, J. Aldegunde, J. M. Hutson, M. R. Tarbutt and S. L. Cornish, New J. Phys. 22, 013027 (2020)

Synopsis. We discuss how the internal structure of ultracold molecules, trapped in the motional ground state of optical tweezers, can be used to implement qudits. We identify a subset of levels within a single rotational manifold suitable to implement a four-level qudit. We present a protocol for using a molecular qudit to perform the Deutsch algorithm.
- Long rotational coherence times of molecules in a magnetic trap, L. Caldwell, H. J. Williams, N. J. Fitch, J. Aldegunde, J. M. Hutson, B. E. Sauer, M. R. Tarbutt, Phys. Rev. Lett. 124, 063001 (2020)
Synopsis. Polar molecules in superpositions of rotational states exhibit long-range dipolar interactions, but maintaining their coherence in a trapped sample is a challenge. We present calculations that show many laser-coolable molecules have convenient rotational transitions that are exceptionally insensitive to magnetic fields. We verify this experimentally for CaF where we find a transition with sensitivity below 5 Hz/G and use it to demonstrate a rotational coherence time of 6.4 ms in a magnetic trap. Simulations suggest it is feasible to extend this to more than 1 s.
2019
- Hybrid plasmonic waveguide coupling of photons from a single molecule, S. Grandi, M. P. Nielsen, J. Cambiasso, S. Boissier, K. D. Major, C. Reardon, T. F. Krauss, R. F. Oulton, E. A. Hinds and A. S. Clark, APL Photonics 4, 086101 (2019)
Synopsis. We demonstrate the emission of photons from a single molecule into a hybrid gap plasmon waveguide. Crystals of anthracene, doped with dibenzoterrylene (DBT), are grown on top of the waveguides. We investigate a single DBT molecule coupled to the plasmonic region of one of the guides and determine its in-plane orientation, excited state lifetime, and saturation intensity. We show that the emitter is a single molecule coupled to the guide with an efficiency of 11.6(1.5)%. This type of structure is promising for building new functionality into quantum-photonic circuits, where localized regions of strong emitter-guide coupling can be interconnected by low-loss dielectric guides.
- Microwave trap for atoms and molecules, S. C. Wright, T. E. Wall and M. R. Tarbutt, Phys. Rev. Research 1, 033035 (2019)
Synopsis. We demonstrate a trap that confines atoms and molecules around the antinode of a standing-wave microwave field. We couple about 1 kW of power into a microwave cavity that has a quality factor of about ten thousand and demonstrate the trapping of Li atoms. The trap has a volume of about 10 cm3 and a depth near 1 K for many polar molecules.
- Deep Laser Cooling and Efficient Magnetic Compression of Molecules, L. Caldwell, J. A. Devlin, H. J. Williams, N. J. Fitch, E. A. Hinds, B. E. Sauer and M. R. Tarbutt, Phys. Rev. Lett. 123, 033202 (2019)
Synopsis. We introduce a scheme for deep laser cooling of molecules based on robust dark states at zero velocity. Using this method, we cool molecules to 5 uK. We solve a general problem of measuring low temperatures for large clouds by rotating the phase-space distribution and then directly imaging the complete velocity distribution. We also introduce an efficient method for compressing the ultracold cloud.
- A new experiment to test parity symmetry in cold chiral molecules using vibrational spectroscopy, A. Cournol et. al., Quantum Electronics 49, 288 (2019)
Synopsis. A review of progress towards a measurement of parity violation in heavy-metal chiral complexes using mid-infrared Ramsey interferometry. Topics addressed include the development of buffer-gas sources of slow, cold polyatomic molecules, and the frequency stabilisation of quantum cascade lasers calibrated using primary frequency standards.
- Laser cooling of molecules, M. R. Tarbutt, Contemporary Physics 59, 356 (2019)

Synopsis: A review article on laser cooling of molecules, intended for a broad readership, especially for researchers starting out in the field and for undergraduates, teachers and lecturers.
- Ultracold molecules for quantum simulation: rotational coherences in CaF and RbCs, J. A. Blackmore, L. Caldwell, P. D. Gregory, E. M. Bridge, R. Sawant, J. Aldegunde, J. Mur-Petit, D. Jaksch, J. M. Hutson, B. E. Sauer, M. R. Tarbutt and S. L. Cornish, Quantum Sci. Technol. 4, 014010 (2019)
Synopsis. Polar molecules offer a new platform for quantum simulation of systems with long-range interactions. We report coherent control of rotational states of CaF and RbCs. A judicious choice of hyperfine states minimises the impact of the trap fields.
2018
- Efficient excitation of dye molecules for single photon generation, R. C. Schofield, K. D. Major, S. Grandi, S. Boissier, E. A. Hinds
and A. S. Clark, J. Phys. Commun. 2, 115027 (2018)
Synopsis. A reliable single photon source is required for many aspects of quantum technology. Organic molecules are attractive for this application because they can have high quantum yield and can be photostable, even at room temperature. To generate a photon with high probability, a laser must excite the molecule efficiently. We develop a simple model for that efficiency and discuss how to optimise it. We demonstrate the validity of our model through experiments on a single dibenzoterrylene (DBT) molecule in an anthracene crystal. We show that the excitation probability cannot exceed 75% at room temperature, but can increase to over 99% if the sample is cooled to liquid nitrogen temperature. The possibility of high photon generation efficiency with only modest cooling is a significant step towards a reliable photon source that is simple and practical.
- Blue-detuned magneto-optical trap, K. N. Jarvis, J. A. Devlin, T. E. Wall, B. E. Sauer and M. R. Tarbutt, Phys. Rev. Lett. 120, 083201 (2018)

Synopsis. Magneto-optical traps (MOTs) for atoms and molecules with dark states suffer from low phase-space density. This is particularly problematic for cooling and trapping molecules, where dark states are always present. We solve this problem, demonstrating a new MOT that increases the phase-space density a million-fold. Our MOT uses blue detuned light, overturning the conventional wisdom that MOTs have to use red-detuned light.
- Laser cooled YbF molecules for measuring the electron’s electric dipole moment, J. Lim, J. R. Almond, M. A. Trigatzis, J. A. Devlin, N. J. Fitch, B. E. Sauer, M. R. Tarbutt and E. A. Hinds, Phys. Rev. Lett. 120, 123201 (2018)

Synopsis. Ultracold molecules can be used to test fundamental physics. An excellent example is the measurement of the electron’s electric dipole moment, which tests physics beyond the Standard Model. Cooling the molecules to low temperature increases the coherence time in these experiments, which makes them more precise. We demonstrate sub-Doppler laser cooling of a beam of YbF molecules to 100 μK. This is a key step towards a new measurement of the electron’s electric dipole moment.
- Magnetic trapping and coherent control of laser-cooled molecules, H. J. Williams, L. Caldwell, N. J. Fitch, S. Truppe, J. Rodewald, E. A. Hinds, B. E. Sauer and M. R. Tarbutt, Phys. Rev. Lett. 120, 163201 (2018)

Synopsis. Quantum science with ultracold molecules requires control over the quantum state of molecules and confinement in a trap that preserves that state. To meet these requirements, we transfer ultracold CaF molecules into a single state, coherently control their rotational, hyperfine and magnetic state, and then trap them magnetically for several seconds.
- Characteristics of unconventional Rb magneto-optical traps, K. N. Jarvis, B. E. Sauer and M. R. Tarbutt, Phys. Rev. A 98, 043432 (2018)
Synopsis. We characterise in detail several unconventional magneto-optical trapping (MOT) arrangements. Some use red-detuned light and others blue-detuned light. This work brings useful insights into the range of possibilities for making molecular MOTs.
- Laser cooling and magneto-optical trapping of molecules analyzed using optical Bloch equations and the Fokker-Planck-Kramers equation, J. A. Devlin and M. R. Tarbutt, Phys. Rev. A 98, 063415 (2018)

Synopsis. We develop a sophisticated model of laser cooling and magneto-optical trapping of molecules and use it to establish the principle mechanisms at work. We find that the balance between Doppler forces and Sisyphus forces play a critical role in determining temperature and other properties, and that transient dark states are important to the Sisyphus mechanism and in determining the photon scattering rate. Most of the predictions of our model are in good quantitative agreement with experimental results.
2017
- Molecules cooled below the Doppler limit, S. Truppe, H. J. Williams, M. Hambach, L. Caldwell, N. J. Fitch, E. A. Hinds, B. E. Sauer and M. R. Tarbutt, Nature Physics 13, 1173 (2017)
Synopsis. The magneto-optical trap (MOT) is the workhorse of experiments with ultracold atoms. A MOT uses a combination of laser beams and a magnetic field to trap and cool atoms. The main cooling mechanism is Doppler cooling, which is effective when the laser light is detuned to the red side of the atomic transition, but cannot cool below a certain temperature limit, known as the Doppler limit. A molecule MOT is an ideal starting point for many applications of ultracold molecules. In this paper, we demonstrate we capture about 10,000 molecules in a MOT, cool them to to a few millikelvin, and store them for about 100 ms. We then demonstrate that a second cooling mechanism, sub-Doppler cooling, is effective when the light is blue-detuned and the magnetic field is turned off. Using this mechanism, we cool molecules below the Doppler limit for the first time, reaching a temperature of 50 microkelvin.
- Characteristics of a magneto-optical trap of molecules, H J Williams, S Truppe, M Hambach, L Caldwell, N J Fitch, E A Hinds, B E Sauer and M R Tarbutt, New Journal of Physics, 19, 113035 (2017)

Synopsis. Magneto-optical traps (MOTs) for molecules are new, so a thorough characterisation of their properties is called for. This paper presents a detailed investigation of the properties of a MOT of CaF molecules. We first study how molecules load into the MOT from a decelerated molecular beam. Then we measure how the number of molecules, the photon scattering rate, the oscillation frequency, damping constant, temperature, cloud size and lifetime depend on the key parameters of the MOT, especially the intensity and the detuning of the light. By comparing our results to analytical and numerical models we shed light on the mechanisms at work in molecule MOTs.
- A buffer gas beam source for short, intense and slow molecular pulses, S Truppe, M Hambach, S M Skoff, N E Bulleid, J S Bumby, R J Hendricks, E A Hinds, B E Sauer and M R Tarbutt, Journal of Modern Optics, 65, 246 (2017)

Synopsis. Experiments with directly-cooled molecules usually begin with a source. This paper describes a pulsed source of molecules with characteristics that are ideal for many experiments – the pulses have high flux, low speed, low temperature and short duration. We make CaF molecules by laser ablation of a Ca target in the presence of SF6 gas. The molecules are caught in a flow of 4K helium, which cools them and produces a directed beam. We present the design of the source, give practical details about how to build it, and characterize its performance.
- An intense, cold, velocity-controlled molecular beam by frequency-chirped laser slowing, S. Truppe, H. J. Williams, N. J. Fitch, M. Hambach, T. E. Wall, E. A. Hinds, B. E. Sauer and M. R. Tarbutt, New Journal of Physics, 19, 022001 (2017)

Synopsis. Molecular beams need to be slowed down to low velocity before they can be captured in a magneto-optical trap. We use frequency-chirped radiation pressure slowing to control the velocity of a CaF beam down to a few m/s, compressing its velocity spread by a factor of 10 while retaining high intensity.
- Characterising molecules for fundamental physics: an accurate spectroscopic model of methyltrioxorhenium derived from new infrared and millimetre-wave measurements, P. Asselin, Y. Berger, T. R. Huet, L. Margulès, R. Motiyenko, R. J. Hendricks, M. R. Tarbutt, S. K. Tokunaga and B. Darquié, Phys. Chem. Chem. Phys. 19, 4576 (2017)
Synopsis. Using high-resolution spectroscopy, we study the rotational and rovibrational structure of methyltrioxorhenium (MTO), the achiral parent of a family of large oxorhenium compounds that are ideal candidate species for a planned measurement of parity violation in chiral molecules. To simplify the spectrum and improve the resolution, we cooled the molecules to a few kelvin.
- The [557]-X2Σ+ and [561]-X2Σ+ bands of ytterbium fluoride, 174YbF, J. Lim, J. R. Almond, M. R. Tarbutt, D. T. Nguyen and T. C. Steimle, Journal of Molecular Spectroscopy, 338, 81 (2017)
Synopsis. Spectroscopy of strongly perturbed transitions in YbF. This work is important for determining the best laser-cooling scheme for this molecule, which in turn is important for future measurements of the electron's electric dipole moment.
- High-resolution mid-infrared spectroscopy of buffer-gas-cooled methyltrioxorhenium molecules, S. K. Tokunaga, R. J. Hendricks, M. R. Tarbutt and B. Darquie, New Journal of Physics, 19, 053006 (2017)

Synopsis. We demonstrate cryogenic buffer-gas cooling of gas-phase methyltrioxorhenium (MTO). This molecule is closely related to chiral organometallic molecules where the parity-violating energy differences between enantiomers is measurable. We cool the molecules to 6K and study the antisymmetric Re=O stretching mode by absorption spectroscopy in the mid infrared. This ability to produce dense samples of complex molecules of this type at low temperatures is a key step towards a measurement of parity violation in a chiral species
- A big measurement of a small moment, B. E. Sauer, J. A. Devlin and I. M. Rabey, New Journal of Physics, 19, 071001 (2017)
Papers
2016
A versatile dual-species Zeeman slower for caesium and ytterbium, S. A. Hopkins, K. Butler, A. Guttridge, S. Kemp, R. Freytag, E. A. Hinds, M. R. Tarbutt, and S. L. Cornish, Review of Scientific Instruments 87, 043109 (2016)
Direct loading of a large Yb MOT on the 1S0 -> 3P1 transition, A. Guttridge, S. A. Hopkins, S. L. Kemp, D. Boddy, R. Freytag, M. P. A. Jones, M. R. Tarbutt, E. A. Hinds and S. L. Cornish, Journal of Physics B. 49, 145006 (2016)
Quantum dynamics of a driven two-level molecule with variable dephasing, S. Grandi, K. D. Major, C. Polosseni, S. Boissier, A. S. Clark & E. A Hinds, Physical Review A, 94, 063839 (2016)
Three-dimensional Doppler, polarization-gradient, and magneto-optical forces for atoms and molecules with dark states, J. A. Devlin & M. R. Tarbutt, New Journal of Physics, 18, 123017 (2016)
Low magnetic Johnson nosie electric field plates for precision measurement, I. M. Rabey, J. A. Devlin, E. A. Hinds & B. E. Sauer, Review of Scientific Instruments, 87, 115110 (2016)
Principles and Design of a Zeeman-Sisyphus Decelerator for Molecular Beams, N. J. Fitch & M. R. Tarbutt, Chem. Phys. Chem., 17, 3609 (2016)
Viewpoint: Liquid light with a whirl, R. Nyman, Physics, 9, 88 (2016)
Design and fabrication of diffractive atom chips for laser cooling and trapping, J. P. Cotter, J. P. McGilligan, P. F. Griffin, I. M. Rabey, K. Docherty, E. Riis, A. S. Arnold & E. A. Hinds, Applied Physics B, 122, 172 (2016)
A stable, single-photon emitter in a thin organic crystal for application to quantum-photonic devices, C. Polisseni, K. Major, S. Boissier, S. Grandi, A. Clark & E. A. Hinds, Optics Express, 24, 5615 (2016)
Production and characterization of a dual species magneto-optical trap of cesium and ytterbium, S. L. Kemp, K. L. Butler, R. Freytag, S. A. Hopkins, E. A. Hinds, M. R. Tarbutt & S. L. Cornish, Review of Scientific Instruments, 87, 023105 (2016)
Submillikelvin Dipolar Molecules in a Radio-Frequency Magneto-Optical Trap, E. B. Norrgard, D. J. McCarron, M. H. Steinecker, M. R. Tarbutt and D. DeMille, Phys. Rev. Lett., 116, 063004 (2016)
Spatiotemporal coherence of non-equilibrium multimode photon condensates, J. Marelic, L. F. Zajiczek, H. J. Hesten, K. H. Leung, E. Y. X. Ong, F. Mintert and R. A. Nyman, New Journal of Physics, 18, 103012 (2016)
Phase-space views into dye-microcavity thermalized and condensed photons, J. Marelic, B. T. Walker and R. A. Nyman, Physical Review A, 94, 063812 (2016)
2015
Probing dark energy with atom interferometry, C. Burrage, E. J. Copeland and E. A. Hinds, Journal of Cosmology and Astroparticle Physics, 03, 042 (2015)
Growth of optical-quality anthracene crystals doped with dibenoterrylene for controlled single photon production, K. D. Major, Y-H. Lien, C. Polisseni, S. Grandi, K. W. Kho, A. S. Clark, J. Hwang and E. A. Hinds, Rev. Sci. Inst., 86, 083106 (2015)
Enhanced oscillation lifetime of a Bose–Einstein condensate in the 3D/1D crossover, B. Yuen, I. J. M. Barr, J. P. Cotter, E. Butler and E. A. Hinds, New J. Phys. 17, 093041 (2015) Raw data for this paper is available at: http://datahub.io/dataset/enhanced-oscillation-lifetime-of-a-bose-einstein-condensate-in-the-3d-1d-crossover
Modeling sympathetic cooling of molecules by ultracold atoms, J. Lim, M. D. Frye, J. M. Hutson, and M. R. Tarbutt, Phys. Rev. A 92, 053419 (2015)
A high quality, efficiently coupled microwave cavity for trapping cold molecules, D. P. Dunseith, S. Truppe, R. J. Hendricks, B. E. Sauer, E. A. Hinds and M. R. Tarbutt, J. Phys. B: At. Mol. Opt. Phys., 48, 045001 (2015)
Measurements of the Zeeman effect in the A(2)Pi and B-2 Sigma(+) states of calcium fluoride, J. Devlin, M. R. Tarbutt, D. L. Kokkin and T. C. Steimle, J. Mol. Spec., 317, pages 1-9 (2015)
Modeling magneto-optical trapping of CaF molecules, M. R. Tarbutt and T. C. Steimle, Phys. Rev. A, 92, 053401 (2015)
Magneto-optical trapping forces for atoms and molecules with complex level structures, M. R. Tarbutt, New J. Phys., 17, 015007 (2015)
Experimental evidence for inhomogeneous pumping and energy-dependent effects in photon Bose-Einstein condensation, J. Marelic and R. A. Nyman, Phys. Rev. A, 91, 033813 (2015)
2014
Stochastic multi-channel lock-in detection, J. J. Hudson, M. R. Tarbutt, B. E. Sauer and E. A. Hinds, New J. Phys., 16, 013005 (2014)
Radiative branching ratios for excited states of 174YbF: application to laser cooling, I. J. Smallman, F. Wang, T. C. Steimle, M. R. Tarbutt, E. A. Hinds, J. Mol. Spec. 300, 3 (2014)
Microwave spectroscopy of Λ-doublet transitions in the ground state of CH, S. Truppe, R. J. Hendricks, S. K. Tokunaga, E. A. Hinds and M. R. Tarbutt, J. Mol. Spec. 300, 70 (2014)
Measurement of the lowest millimetre-wave transition frequency of the CH radical, S. Truppe, R. J. Hendricks, E. A. Hinds and M. R. Tarbutt, The Astrophysical Journal 780, 71 (2014)
Laser cooling and slowing of CaF molecules, V. Zhelyazkova, A. Cournol, T. E. Wall, A. Matsushima, J. J. Hudson, E. A. Hinds, M. R. Tarbutt, B. E. Sauer, Phys. Rev. A 89, 053416 (2014)
Interactions in dye-microcavity photon condensates and the prospects for their observation, R. A. Nyman and M. H. Szymanska, Phys. Rev. A, 89, 033844 (2014)
Integrated optics for coupled-cavity QED, G. Lepert and E. A. Hinds, AIP Conf. Proc., 1633, 234 (2014)
SIngle dipole evanescently coupled to a multimode waveguide, N. R. Verhart, G. Lepert, A. L. Billing, J. Hwang and E. A. Hinds, Optics Express, 22, 16, pp. 19633 (2014)
2013
Shaking-induced dynamics of cold atoms in magnetic traps, I. L. Garcia, B. Darquie, C. D. J. Sinclair, E. A. Curtis, M. Tachikawa, J. J. Hudson, E. A. Hinds, Phys. Rev. A 88, 043406 (2013)
Improved surface quality of anisotropically etched silicon {111} planes for mm-scale optics, J.P. Cotter, I. Zeimpekis, M. Kraft and E.A. Hinds, J. Micromech. Microeng. 23 117006
A search for varying fundamental constants using hertz-level frequency measurements of cold CH molecules, S. Truppe, R. J. Hendricks, S. K. Tokunaga, H. J. Lewandowski, M. G. Kozlov, Christian Henkel, E. A. Hinds and M. R. Tarbutt, Nat. Commun. 4, 2600 (2013)
Elementary array of Fabry-Pérot waveguide resonators with tunable coupling, G. Lepert, E. A. Hinds, H. L. Rogers, J. C. Gates, P. G. R. Smith, Appl. Phys. Lett. 103, 111112 (2013)
Characterization of a cryogenic beam source for atoms and molecules, N. E. Bulleid, S. M. Skoff, R. J. Hendricks, B. E. Sauer, E. A. Hinds and M. R. Tarbutt, Phys. Chem. Chem. Phys. 15, 12299 (2013)
Design for a fountain of YbF molecules to measure the electron’s electric dipole moment, M. R. Tarbutt, B. E. Sauer, J. J. Hudson and E. A. Hinds, New J. Phys.15, 053034 (2013)
Time reversal symmetry violation in the YbF molecule, B. E. Sauer, J. A. Devlin, J. J. Hudson, D. M. Kara, I. J. Smallman, M. R. Tarbutt and E. A. Hinds, Hyperfine Interactions 214, 119 (2013)
A surface-patterned chip as a strong source of ultracold atoms for quantum technologies, C. C. Nshii, M. Vangeleyn, J. P. Cotter, P. F. Griffin, E. A. Hinds, C. N. Ironside, P. See, A. G. Sinclair, E. Riis and A. S. Arnold, Nature Nanotechnology 8, 321-324 (2013)
2012
ICP polishing of silicon for high-quality optical resnaotors on a chip, A. Laliotis, M. Trupke, J. P. Cotter, G. Lewis, M. Kraft, E. A. Hinds, Journal of Micromechanics and Microengineering 22, 125011 (2012)
Measurement of the electrons's electric dipole moment using YbF molecules: methods and data analysis, D. M. Kara, I. J. Smallman, J. J. Hudson, B. E. Sauer, M. R. Tarbutt and E. A. Hinds, New Journal of Physics 14, 103051 (2012)
Travelling-wave deceleration of heavy polar molecules in low-field-seeking states, N. E. Bulleid, R. J. Hendricks, E. A. Hinds, S. A. Meek, G. Meijer, A. Osterwalder, M. R. Tarbutt, Physical Review A 86, 021404 (2012)
2011
Prospects for using integrated atom-photon junctions for quantum information processing, R. A. Nyman, S. Scheel, E. A. Hinds, Quantum Information Processing 10, 941 (2012)
Franck-Condon factors and radiative lifetime of the A2Π1/2-X2Σ+ transition of ytterbium monofluoride, YbF, X. Zhuang, A. Le, T. C. Steimle, N. E. Bulleid, I. J. Smallman, R. J. Hendricks, S. M. Skoff, J. J. Hudson, B. E. Sauer, E. A. Hinds and M. R. Tarbutt,Phys. Chem. Chem. Phys. 13, 19013 (2011)
Stark deceleration of CaF molecules in strong- and weak-field seeking states, T. E. Wall, J. F. Kanem, J. M. Dyne, J. J. Hudson, B. E. Sauer, E. A. Hinds and M. R. Tarbutt, Phys. Chem. Chem. Phys. 13, 18991 (2011)
Prospects for sympathetic cooling of molecules in electrostatic, ac and microwave traps, S. K. Tokunaga, W. Skomorowski, P. S. .Zuchowski, R. Moszynski, J. M. Hutson, E. A. Hinds and M. R. Tarbutt, Eur. Phys. J. D 65, 141 (2011)
Demonstration of UV-written waveguides, Bragg gratings and cavities at 780 nm, and an original experimental measurement of group delay
G. Lepert, M. Trupke, E. A. Hinds, H. Rogers, J. C. Gates, P. G. R. Smith
Optics Express 19, 24933 (2011)
Arrays of waveguide-coupled optical cavities that interact strongly with atoms
G. Lepert, M. Trupke, M. J. Harmann, M. B. Plenio, E. A. Hinds
New Journal of Physics 13, 113002 (2011)
Adiabatic transfer of light in a double cavity and the optical Landau-Zener problem, N. Miladinovic, F. Hasan, N. Chisholm, I. E. Linnington, E. A. Hinds, D. H. J. O'Dell, Physical Review A 84, 043822 (2012)
Dye molecules as single-photon sources and large optical nonlinearities on a chip
J. Hwang, E. A. Hinds
New Journal of Physics 13, 085009 (2011)
Minimally destructive detection of magnetically trapped atoms using frequncy-syntesized light
M. Kohnen, P. G. Petrov, R.A. Nyman, E. A. Hinds
New Journal of Physics 13, 085006 (2011)
Fast cavity-enhanced atom detection with low noise and high fidelity
J. Goldwin, M. Trupke, J. Kenner, A. Ratnaplana, E.A. Hinds
Nature Communications, 2, 418 (2011)
Improved measurement of the shape of the electron
J. J. Hudson, D. M. Kara, I. J. Smallman, B.E. Sauer, M. R. Tarbutt, E. A. Hinds
Nature 473, 493 (2011)
Characteristics of integrated magneto-optical traps for atom chips
S. Pollock, J. P. Cotter, A. Laliotis, F. Ramirez-Martinez and E. A. Hinds
New Journal of Physics 13, 043029 (2011)
Diffusion, thermalization, and optical pumping of YbF molecules in a cold buffer-gas cell
< span id="records_chunks" style="display: block;">S. M. Skoff, R. J. Hendricks, C. D. J. Sinclair, J. J. Hudson, D. M. Segal, B. E. Sauer, E. A. Hinds and M. R. TarbuttPhysical Review A 83, 023418 (2011)
An array of integrated atom-photon junctionsM. Kohnen, M. Succo, P. G. Petrov, R. A. Nyman, M. Trupke and E. A. Hinds
Nature Photonics 5, 35–38 (2011)
2010
Measuring Energy Differences by BEC Interferometry on a Chip
F. Baumgärtner, R. J. Sewell, S. Eriksson, I. Llorente-Garcia, J. Dingjan, J.P. Cotter, and E. A. Hinds
Physical Review Letters 105, 243003 (2010)
Experiments on a videotape atom chip: fragmentation and transport studies
I. L. Garcia, B. Darquie, E. A. Curtis, C. D. J. Sinclair, E. A. Hinds
New Journal of Physics 12, 093017 (2010)
Nonadiabatic Transitions in a Stark Decelerator
T. E. Wall, S.K. Tokunaga, E.A. Hinds, M.R. Tarbutt
Physical Review A 81, 033414 (2010)
2009
Doppler-free laser spe ctroscopy of buffer-gas-cooled molecular radicals
S. M. Skoff, R. J. Hendricks, C. D. J. Sinclair, M. R. Tarbutt, J. J. Hudson, D. M. Segal, B. E. Sauer and
E. A. Hinds
New J. Phys. 11, 123026 (2009)
Atom chip for BEC interferometry
R. J. Sewell, J. Dingjan, F. Baumgartner, I. Llorente-Garcia, S. Eriksson, E. A. Hinds, G. Lewis, P. Srinivasan, Z. Moktadir, C. O. Gollash, M. Kraft
Journal of Physics B 43, 051003 (2010)
Prospects for measuring the electric d ipole moment of the electron using electrically trapped polar molecules
M. R. Tarbutt, J. J. Hudson, B. E. Sauer and E. A. Hinds
Faraday Discussions 142, 37 (2009)
Stark deceleration of lithium hydride molecules
S. K. Tokunaga, J. M. Dyne, E. A. Hinds and M. R. Tarbutt
New Journal of Physics 11, 055038 (2009)
Preparation and manipulation of molecules for fundamental physics tests
M.R. Tarbutt, J.J. Hudson, B.E. Sauer, E.A. Hinds
Chapter 15 of "Cold molecules: theory, experiment, applications" edited by R. V. Krems, B. Friedrich and W. C. Stwalley, CRC Press (2009) (arXiv)
Transport of pol ar molecules by an alternating gradient guide
T.E. Wall, S. Armitage, J.J. Hudson, B.E. Sauer, J.M. Dyne, E.A. Hinds, M.R. Tarbutt
Physical Review A, Vol. 80, 043407, (2009)
Integrated magneto-optical traps on a chip using silicon pyramid structures
S. Pollock, J. P. Cotter, A. Laliotis and E. A. Hinds
Optics Express Vol. 17, Iss. 16, pp. 14109–14114 (2009)
2008
Bloch-Zener oscillations of atoms inside an optical cavity
B. Prasanna Venkatesh, M. Trupke, E. A. Hinds, and D. H. J. O’Dell
Physical Review A 80, 063834 (2009)
Momentum exchange between light and a single atom: Abraham or Minkowski?
E. A. Hinds and Stephen Barnett
Physical Review Letters 102, 050403 (2009)
A robust floating nanoammeter
B. E. Sauer, D. M. Kara, J. J. Hudson, M. R. Tarbutt and E. A. Hinds
Review of Scientific Instruments 79, 126102 (2008)
Lifetime of the A(v'=0) state and Franck-Condon factor of the A-X(0-0) transition of CaF measured by the saturation of laser-induced fluorescence
T. E. Wall, J. F. Kanem, J. J. Hudson, B. E. Sauer, D. Cho, M. G. Boshier, E. A. Hinds and M. R. Tarbutt
Physical Review A 78, 062509 (2008)
Tight focusing of plane waves from micro-fabricated spherical mirrors
J. Goldwin and E. A. Hinds
Optics Express 16, 17808 (2008)
Surface-induced heating of cold polar molecules
S. Y. Buhmann, M. R. Tarbutt, S. Scheel and E. A. Hinds
Physical Review A 78, 052901 (2008)
Fabrication of Magneto-Optical Atom Traps on a Chip
G. Lewis, Z. Moktadir, C. G ollasch, M. Kraft, S. Pollock, F. Ramirez-Martinez, J. P. Ashmore, A. Laliotis, M. Trupke, E. A. Hinds
JMEMS (18) 2 347-353
Nonlinear dynamics in an alternating gradient guide for neutral particles
M. R. Tarbutt, E. A. Hinds
New Journal of Physics 10, 073011 (2008)
Progress in atom chips and the integration of optical microcavities
E. A. Hinds, M. Trupke, B. Darquié, J. Goldwin, G. Dutier
Proceedings of the 18th International Conference On Laser Spectroscopy (ICOLS) Eds. L. Hollberg, J. Bergquist and M. Kasevich, 272-282. (arXiv)
2007
Pulsed beams as field probes for precision measurement
J.J. Hudson, H.T. Ashworth, D.M. Kara, M.R. Tarbutt, B.E. Sauer, and E.A. Hinds
Physical Review A 76, 033410 (2007)
The effect of self-affine fractal roughness of wires on atom chips
Z. Moktadir, B. Darquié, M. Kraft, E. A. H inds
Journal of Modern Optics 54, 2149 - 216 0 (2007)
Atom detection and photon production in a scalable, open, optical microcavity
M. Trupke, J. Goldwin, B. Darquie
Physical Review Letters 99, 063601 (2007)
A supersonic beam of cold lithium hydride molecules.
S. K. Tokunaga, J. O. Stack, J. J. Hudson
Journal of Chemical Physics 126 (2007)
Towards quantum computing with single atoms and optical cavities on atom chips
Trupke, M, Metz, J, Beige, A, and E. A. Hinds
Journal of Modern Optics 54, 1639-1655 (2007)
Probing the electron EDM with cold molecules
B.E. Sauer, H.T. Ashworth, J.J. Hudson, M.R. Tarbutt, E.A. Hinds
Atomic Physics 20, edited by Roos, Haeffner and Blatt (AIP, New York) (arXiv)
On the feasibility of studying vo rtex noise in 2D superconductors with cold atoms
S. Scheel, R. Fermani, E.A. Hinds
Physical Review A 75, 064901 (2007)
Spin-flip lifetimes in superconducting atom chips: Bardeen-Coo per-Schrieffer versus Eliashberg theoryU. Hohenester, A. Eiguren, S. Scheel and E. A. Hinds
Physical Review A 76, 033618 (2007)
2006
Alternating gradient focusing and deceleration of polar molecules
H.L. Bethlem, M. Tarbutt, J. Kupper
J Phys B 39 (2006)
Pyramidal micro-mirrors for microsystems and atom chips
M. Trupke, F. Ramirez-Martinez, E.A. Curtis, J.P. Ashmore, S. Eriksson, E.A. Hinds, Z. Moktadir, C. Gollasch, M. Kraft, G. Vijaya Prakash, J.J. Baumberg
Appl. Phys. Lett. 88, 071116 (2006)
2005
A three-dimensional electrostatic actuator with a locking mechanism for microcavities on atom chips
C.O. Gollasch, Z. Moktadir, M. Kraft, M. Trupke, S. Eriksson and E.A. Hinds
J. Micromech. Microeng. 15 S39-S46
Microfabricated high-finesse optical cavity with open access and small volume
M. Trupke, E. A. Hinds, S. Eriksson, E. A. Curtis, Z. Moktad ir, E. Kukharenka, M. Kraft
Appl. Phys. Let t. 87, 211106 (2005)
Permanent-magnet atom chips for the study of long, thin atom clouds
I. Llorente-Garcia, C. D. J. Sinclair, E. A. Curtis, S. Eriksson, B. E. Sauer and E. A. Hinds
Journal of Physics: Conference Series 19, 70-73 (2005).
Stark shift of the A2Pi1/2 state in 174YbF
P.C Condylis, J. J. Hudson, M. R. Tarbutt, B. E. Sauer and E. A Hinds,
J Chem Phys. 123, 231101 (2005).
Atom Chips
J. Schmiedmayer and E.A. Hinds
QIPC in Europe, edited by A.Karlson
Tow ards a new measurement of the electron’s electric dipole moment
J. J. Hudson, P.C Condylis, H.T.Ashworth, M.R. Tarbutt, B. E. Sauer and E. A Hinds
Proceedings of the 17th Conference on Laser Spectroscopy (World Scientific, Singapore 2005), p.116-123
Bose-Einstein Condensation on a permanent-magnet atom chip
C D J Sinclair, E A Curtis, I Llorente-Garcia, J A Retter, B V Hall, S Eriksson, B E Sauer and E A Hinds,
Phy s. Rev. A 72, rapid communication (2005).
Preparation of a Bose-Einstein condensate on a permanent-magnet atom chip
C. D. J. Sinclair, E. A. Curtis, J. A. Retter, B. V. Hall, , I. Llorente-Garcia, S. Eriksson, B. E. Sau er and
E. A. Hinds
Journal of Physics: Conference Series 19, 74-77 (2005).
Integrated optical components on atom chips
S Eriksson, M Trupke, H F Powell, D Sahagun, C D J Sinclair, E A Curtis, B E Sauer and E A Hinds, Z Moktadir, C O Gol lasch and M Kraft,
Euro. Phys J.D,(2005) DOI:10.1140/epjd/e2005-00092-x
Cold atoms in videotape micro-tra ps
C D J Sinclair, J A Retter, E A Curtis, B V Hall, I Llorente-Garcia, S Eriksson, B E Sauer and E A Hinds,
Eur. P hys. J. D. 35, 105-110 (2005)
Atomic spin decoherence near conducting and superconducting films
S. Scheel, P K Rekdal, P L Knight and E. A. Hinds,
Phys Rev. A. 72, 042901 (2005)
2004
Etching techniques for the realization of optical micro-cavities on silicon for atom traps.
Moktadir, Z., Kukharenka, A., Kraft, M., Bagnall, D. M., Jones, M., Powell, H. and Hinds, E. A,
J. Micromech. Microeng. 14, 1 (2004).
Quantum gates and decoherence
Stefan Scheel, Jiannis Pachos, E. A. Hinds and Peter L. Knight,
arXiv:quant-ph/0403152, (2004).
Microfabrication of gold wires for atom guides,
E. Koukharenko, Z. Moktadir, M. Kraft, M. E. Abdelsalam, D. M. Bagnall, C. Vale, M. P. A. Jones and E. A. Hinds,
Sensors and Actuators A:115, 600 (2004).
Micron-sized atom traps made from magneto-optical thin films
S. Eriksson, F. Ramirez-Martinez, E.A. Curtis, B.E. Sauer, P.W. Nutter, E.W. Hill and E.A. Hinds
Appl Phys B 79, 811 (2004).
Thermal spin-flips in atom chips,
P.K. Rekdal, S. Scheel, P.L. Knight and E.A. Hinds,
Phys Rev A 70 013811 (2004).
Slowing heavy ground state mol ecules using an alternating ground state decelerator
M.R. Tarbutt, H.L. Bethlem, J.J. Hudson, V.L. Ryabov, V.A. Ryzhov, B.E. Sauer, G. Meijer and E.A. Hinds,
Phys. Rev. Lett. 92, 173002 (2004).
Cold atoms near magnetic and dielectric surfaces
M. P. A. Jones, C. J. Vale, D. Sahagun, B. V. Hall, B. E. Sauer, E. A. Hinds, C. C. Eberlein, K. Furusawa and D. Richardson,
Proceedings of the 16th Conference on Laser Spectroscopy (World Scientific, Sinagpore 2004), p.223-230.
Cold atoms probe the magnetic field near a wire
M. P. A. Jones, C. J. Vale, D. Sahagun, B. V. Hall, C. C. Eberlein, B. E. Sauer, K. Furusawa, D. Richardson, and E. A. Hinds,
J. Phys B 37, L15 (2004)
2003
Spin Coupling between Cold Atoms and the Thermal Fluctuations of a Metal Surface
M. P. A. Jones, C. J. Vale, D. Sahagun, B. V. Hall, and E. A. Hinds,
Phys. Rev. Lett. 91, 080401 (2003)
Towards single-atom detection on a chip
Peter Horak, Bruce G. Klappauf, Albrecht Haase, Ron Folman, Joerg Schmiedmayer, Peter Domokos, E. A. Hinds,
Phys. Re v. A 67, 043806 (2003).
Electric dipole moments: theory and experiment
E. A. Hinds, B.E. Sauer, J.J. Hudson, M.R. Tarbutt, and M.E. Pospelov,
Proceedings of XIVth rencontres de Blois (Vietnam, 2003) p.237-244.
2002
Atom Chips
C. J. Vale, B. V. Hall, D. C. Lau, M. P. A. J ones, J. A. Retter and E. A. Hinds,
Europhysics News 33, No. 6 (2002) special issue of EPS journal, (2002).
A jet beam source of cold YbF radicals
M. R. Tarbutt, B. E. Sauer, J. J. Hudson E. A. Hind s, V. A. Ryzhov, V. L. Ryabov and V. F. Ezhov,
J. Ph ys. B 35, 5013 (2002).
Measurement of the electron electric dipole moment using YbF molecules
J.J.Hudson, B.E. Sauer, M.R. Tarbutt, and E.A. Hinds,
Phys. Rev. Lett. 89, 023003 (2002)
2001
Towards a precise measurement of the H e+ 2S Lamb shift
S. A . Burrows , S. Guerandel, E.A. Hinds,F. Lison, and M.G. Boshier
in The Hydrogen atom: Precision Physics of Simple Atomic Systems, S .G. Karshenboim et al. editor, 303 (Springer-Verlag, Berlin, 2001).
Mirrors, waveguides and integrated c ircu its for cold atoms
E.A. Hinds, B.V. Hall, M.P.A. Jones, D.C. Lau, J. Retter, B.E. S aue r, C.J. Vale, K. Furusawa, P.G. Kazansky and D.J. Richardson
Proceedings of 6th symposium on frequency standards and metrology, ed. P. Gill, (World Scientific, Singapore 2001) p. 281-287.
Measuring the electron electric dipole moment in YbF
B.E. Sauer, J.J. Hudson, M.R. Tarbutt, and E.A. Hinds
in Art and symmetry in experimental physics: Festschrift for Eugene D. Commins, AIP conference proceedings 596, eds. D. Budker, P.H. Bucksbaum, and S.J. Freedman (AIP New York 2001) , pp. 62-71.
Measurements of the electron and neutron EDM
E.A. Hinds, B.E. Sauer, J.J. Hudson, and M .R. Tarbutt
i n KAON 2001, edited by F.Cost antini, G. Isidori, and M. Sozzi, Frascati Physics Series 26 281-293 (2001).
UHV-compatible magnetic material for atom optics
S.A. Hopkins, E.A. Hinds, and M.G. Boshier
Appl. Phys. B 73, 51 (2001)
Magnetic chips and quantum circuits for atoms
E.A. Hinds
Physics World, 14, No.7, 39-43 (2001).
Periodic trajectories of cold atoms in a gravitational cavity
Ifan G. Hughes, Timothy Darlington, and E. A. Hinds
J. Phys. B, 34, 2 869 (2001)
Two-wire waveguide and interferometer for cold atoms
E. A. Hinds, C. J. Vale, and M. G. Boshier
Phys. Rev. Lett., 86 1462-1465 (2001)
Magnetic whispering-gallery mirror for atoms
E. A. Hinds
Phys. Rev. A 63, 053405 (2001)
Miniature guides for neutral atoms
R. P. Bertram, H. Merimeche, M. Mützel, H. Metcalf, D. Haubrich, D. Meschede, P. Rosenbusch and E. A. Hinds
Atomic Physics 17 edited by Arimondo, de Na tale, and Inguscio (AIP, New York) p.405.
Minature guides for neutral atoms
E. A. Hinds
Atomic Physics 17 (AIP, New York 2001)
2000
Transport of cold atoms in a miniature guide
M Key, W Rooijakkers and E A Hinds
New J. Phys. 2, 25.1-25.6 (2000).
Manipulation of cold atoms by an adaptable magnetic reflector
P Rosenbusch, B V Hall, I G Hughes, C V Saba and E A Hinds
Applied Physics B 70, 709-720 (2000).
Reflection of cold atom s by a cobalt single crystal
P Rosenbusch, J A Retter, B V Hall and E A Hinds, F. Lison, D. Haubrich, and D. Meschede
Applied Physics B 70, 661-663 (2000).
Propagation of cold atoms along a miniature magnetic guide
M Key, I G Hughes, W Rooijakkers, B E Sauer, and E A Hinds, & D J Richardson, and P G. Kazansky
Phys. Rev. Lett. 84 1371-1373 (2000).
Manipulation of cold atoms using a corrugated magnetic reflector
P. Rosenbusch, B. V. Hall, I. G. Hughes, C. V. Saba and E. A. Hinds
Phys. Rev. A 6103 1404(R) (2000).
Quantum propagation of neutral atoms in a magnetic quadr opole guide
E. A. Hinds and Claudia Eberlein
Phys Rev. A 6103 3614 (2000)
Particle Electric Dipole Moments
J M Pendlebury and E A Hinds
Nuclear Instruments and Methods A440, 471-478 (2000).
Quantum gates with neutral atoms: controlled collisional interactions in time-dependent traps
T. Calarco, E. A. Hinds, D. Jaksh, J. Schmiedmayer, J. I. Cirac, and P. Zoller
Phys. Rev. A. 61, 022304 (2000).
Chips get closer to quantum computing
E. A. Hinds
Physics World, 13 (25)