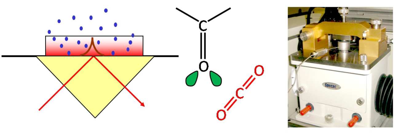
We developed high-pressure in situ spectroscopic techniques and their applications to study interactions between polymers and supercritical fluids, and partitioning, diffusion, extraction, drying, impregnation, dyeing and plasticization of polymeric materials (see Polymer Processing with Supercritical Fluids). We have developed several novel in situ spectroscopic approaches to study materials under high-pressure gases and supercritical fluids using ATR and transmission FTIR spectroscopy and spectroscopic imaging and confocal Raman microscopy.
We have shown that effects of CO2 on polymers (swelling, sorption, etc.) are not purely physical phenomenon but include specific interactions. We obtained the spectroscopic evidence for interaction between CO2 and functional groups in polymers. This work has revealed molecular origins of the plasticising effect of CO2 on polymer - key in polymer processing with supercritical carbon dioxide. Implications of this work range from membrane technology to enhanced supercritical fluid polymer processing and preparation of new polymeric materials. The experimental approach was developed to study effects of high-pressure CO2 on the viscosity of liquid polymers and, for the first time, of suspensions of solid (nano) particles in the same polymer (Flichy 2003, see below). This is the first time that the viscosity of suspensions in liquid polymers under high-pressure CO2 was measured, and it is the first time that high-pressure rheology has been combined with in situ spectroscopic data to quantify the amount of dissolved CO2. We also discovered that the effects of CO2 depend on the surface chemistry of the silica, and we found that a hydrophilic surface of the silica causes gelation behaviour of the suspension under CO2. This rheological study opened new opportunities for high-pressure carbon dioxide applications for polymer processing.
See our recent Prospective article on the topic of supercritical fluids polymer processing: Current trends and opportunities for the applications of in situ vibrational spectroscopy to investigate the supercritical fluid processing of polymers in the Journal of Supercritical Fluids (2018) 134, 89-96 (doi), which summarises our recent research in the area and discusses challenges and future areas of research in this field, providing outlook for new exciting opportunities.

Key References
- Lu, H., Kazarian S.G. How Does High-Pressure CO2 Affect The Morphology of PCL/PLA Blends? Visualization of Phase Separation using In Situ High-pressure ATR-FTIR Spectroscopic Imaging Spectrochimica Acta Part A: Molecular and Biomolecular Spectroscopy (2020) 243, 118760 (doi).
- Ewing A. V. ., Kazarian S. G. Current trends and opportunities for the applications of in situ vibrational spectroscopy to investigate the supercritical fluid processing of polymers The Journal of Supercritical Fluids (2018) 134, 89-96 (doi)
- Gabrienko A. A., Ewing, A. V., Chibiryaev A. M., Agafontsev A. M., Dubkov K.A., Kazarian S. G. New insight into the mechanism of interaction between CO2 and polymers from thermodynamic parameters obtained by in situ ATR-FTIR spectroscopy Physical Chemistry Chemical Physics (2016) 18, 6465-6475. (doi)
- Ewing, A. V. Gabrienko,A. A. Semikolenov, S. V., Dubkov, K.A., Kazarian S. G. How Do Intermolecular Interactions Affect Swelling of Polyketones with a Differing Number of Carbonyl Groups? An In Situ ATR-FTIR Spectroscopic Study of CO2 Sorption Polymers Journal of Physical Chemistry C 119 (2015) 431–440 (doi)
- Hasell T., Armstrong J. A., Jelfs K. E., Tay F. H., Thomas K. M., Kazarian S. G., Cooper A. I. High-pressure carbon dioxide uptake for porous organic cages: comparison of spectroscopic and manometric measurement techniques Chemical Communication (2013) 49, 9410-9412 (doi)
- Kazarian S. G., Application of FTIR spectroscopy to Supercritical Fluid Drying, Extraction and Impregnation, Appl. Spectrosc. Rev. 32, (1997), 301-348. (Review).
- Kazarian S. G., Polymer Processing with Supercritical Fluids Polymer Science, Ser. C 42, (2000), 78-101 (Review).
- Kazarian S. G., Martirosyan G. G. Spectroscopy of Polymer/Drug formulations processed with supercritical fluids: in situ ATR-IR and Raman study of impregnation of ibuprofen into PVP, International J. Pharmaceutics, 232 (2002), 81-90.
- Flichy N. M. B., Kazarian S. G., Lawrence C. J., Briscoe B. J. An ATR-IR "Study of poly(dimethylsiloxane) under high pressure carbon dioxide: simultaneous measurement of sorption and swelling, J. Phys. Chem. B 106 (2002) 754-759. (doi)
- Kazarian S. G., Polymers and supercritical fluids: opportunities for vibrational spectroscopy, Macromol. Symp. 184 (2002) 215-228.
- Fleming O. S., Kazarian S. G., Bach E., Shollmeyer W., Confocal Raman Study of PET fibres dyed with Supercritical Carbon Dioxide: Dye Diffusion and Polymer Morphology, Polymer, 46 (2005) 2943-2949
- Kazarian S. G., Vincent M. F., Bright F. V., Liotta C. L. and Eckert C. A., Specific Intermolecular Interactionof Carbon Dioxide with Polymers, J. Am. Chem Soc. 118, (1996), 1729-1736. (doi)
- Fleming O. S., Stepanek F., Kazarian S. G., Dye Diffusion in Polymer Films Subjected to Supercritical CO2: Confocal Raman Microscopy and Modelling, Macromol. Chem. Phys. 206 (2005) 1077-1083.
- Fleming O. S., Chan K.L. A., Kazarian S. G., High-pressure CO2-enhanced polymer interdiffusion and dissolution studied with in situ ATR-FTIR spectroscopic imaging, Polymer 47 (2006) 4649-4658.
- Flichy N. M. B., Lawrence C. J., Kazarian S. G., Rheology of polypropylene glycol and suspensions of fumed silica in polypropylene glycol under high-pressure CO2, Ind. Eng. Chem. Res. 42 (2003) 6310-6319 (doi)
- Andanson J.M., López-Periago A., García-González C.A., Domingo C., Kazarian S.G., Spectroscopic analysis of triflusal impregnated into PMMA from supercritical CO2 solution, Vib. Spectroscopy 49 (2009) 183-189.
- Labuschagne, P. W., Sadiku, R. E., Kazarian, S. G. In-situ FTIR spectroscopic study of the effect of CO2 sorption on H-bonding in PEG-PVP mixtures, Spectrochimica Acta Part A: Molecular and Biomolecular Spectroscopy 78 (2011) 1500-1506.
- Labuschagne, P. W., Kazarian, S. G.Sadiku, R. E. , Supercritical CO2-assisted preparation of ibuprofen-loaded PEG-PVP complexes, Journal of Supercritical Fluids 57 (2011) 190-197.
- Kazarian S. G., Briscoe B. J., Coombs D., Poulter G., Spectroscopy Safely Goes Supercritical, Spectroscopy Europe 11(3), (1999) 10-16.
- Ewing A. V. and Kazarian S. G. Chapter 19: Interaction of Supercritical Carbon Dioxide with Polymers Studied by Vibrational Spectroscopy, in: Supercritical Fluid Nanotechnology: Advances and Applications in Composites and Hybrid Nanomaterials, Eds. Domingo C. and Subra P. Pan Stanford Publishing Pte. Ltd. (2015).
- Angelini G., Gasbarri, C., Kazarian S. G. Pluronic L121, BMIM BF4 and PEG-400 comparison to identify the best solvent for CO2 sorption Journal of Molecular Liquids (2018) 258, 85–88 (doi).